联系我们
开云(中国)
了解我们
公司简介
公司领导
优势资源
公司成员
联系我们
开云(中国)
媒体报道
视频中心
行业动态
健康驿站
产品中心
产品介绍
联系我们
投资者关系
招标招商
招标比价
招商信息
人力资源
人才培养
文化与责任
文化理念
品牌形象
社会责任
环境信息
主页
>
文化与责任
> 环境信息
文化与责任
文化理念
品牌形象
社会责任
环境信息
央视广告片
东北制药央视广告15秒版
环境信息
ENVIRONMENTAL PROTECTION
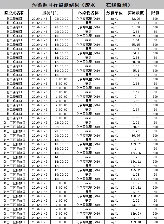
开云在线开户环境监测数据-2016.11.03
来源:未知
发布时间:2016.12.02
浏览:7823 次
开云(中国)
|
了解我们
|
开云(中国)
|
产品中心
|
投资者关系
|
人力资源
主办单位:开云在线开户
辽ICP备14003923号-1
互联网药品信息服务资格证书编号:(辽)-非经营性-2018-0024
技术支持:逐日科技
辽公网安备 21010602000330号
返回顶部
mk官网入口
|
时博app入口站官网
|
亚美体育
|
世俱杯在线
|
星空体育·(中国)官方网站
|
时博官方网站
|
球友会·体育-球友会(中国)
|
好博登录
|
雷火竞技官网入口
|